Sukarman*, Akhmad R Saidy, Gusti Rusmayadi, Dewi Erika Adriani, Septa Primananda and Suwardi
Corresponding Author: Sukarman, Study Program of Agribusiness, Faculty of Agriculture Darwan Ali University, Indonesia.
Received: March 21, 2024 ; Revised: May 05, 2024 ; Accepted: May 08, 2024 ; Available Online: June 05, 2024
Citation: Sukarman, Saidy AR, Rusmayadi G, Adriani DE, Primananda S, et al. (2024) Dynamics of Oil Palm Yield Productivity: Varieties and Soil Types as Determining Factors. J Agric For Meterol Stud, 3(1): 1-15.
Copyrights: ©2024 Sukarman, Saidy AR, Rusmayadi G, Adriani DE, Primananda S, et al. This is an open-access article distributed under the terms of the Creative Commons Attribution License, which permits unrestricted use, distribution, and reproduction in any medium, provided the original author and source are credited.
Views & Citations
Likes & Shares
Currently, yield productivity of oil palm plantations varies between regions and is below the optimal productivity potential. The aim of this study was to compare the yield productivity, number of bunches, and average bunch weight (ABW) of several oil palm varieties based on soil type. This experimental study used a cluster sampling method in an oil palm plantation in Central Kalimantan. The first stage of selection was based on area conditions, climate, soil type, and contour, and the second-stage selection was based on plant age, variety, and block size. Four soil types and three varieties were used with 12 replicated blocks (1,609.32 ha). Fresh fruit bunches (FFB) yield Productivity, number of bunches, ABW, and soil characteristics were analyzed using ANOVA and Duncan's test. The results showed that soil type had a more dominant influence than variety on oil palm production. Ultisols showed the best yield productivity over a 14-year production period (age 17 years) reaching 24.23 tons FFB ha-1 year-1, while Histosols were lower by 13%, Entisols by 26%, and Spodosols by 29% compared to Ultisols productivity. Varieties did not show a significant influence on yield and ABW, but there was a significant difference in the number of bunches, with the Felda variety showing the best results, with an average of 13.8 bunches palm-1 year-1. The combination of Ultisols and Felda provided the best results in terms of oil palm yield productivity at 25.10 tons FFB ha-1 year-1, with a production variation between 4% and 32%.
Keywords: Oil palm productivity, Soil type, Oil palm varieties, Ultisols, Histosols
INTRODUCTION
The highest current productivity of palm oil is 12 tons of oil ha-1 year-1 from a maximum potential of 18.5 tons of oil ha-1 year-1, but the global average remains stagnant at approximately 3 tons of oil ha-1 year-1 [1]. Generally, variations in oil palm production are influenced by climatic [2], environmental, and genetic factors [3]. In addition, growth factors significantly affect oil palm yield productivity [4]. Oil palm bunches begin to be harvested after the age of 2.5 years [5], although most are harvested at the age of 3-4 years [6]. Productivity in the first year is usually around 10-15 tons of Fresh Fruit Bunches (FFB) ha-1 year-1 (oil to bunch ratio of 10-15%), but under ideal commercial conditions, it can reach >20 tons ha-1 year-1 [7]. At the peak of production (Plateau Yield Phase), oil palm production can reach 35 tons of FFB ha-1 year-1 [8], and with selected clonal seeds, the potential can increase to 60 tons ha-1 year-1 [1,9]. Generally, commercial plantations produce only 25-30 tons ha-1 year-1, with Indonesia and Malaysia reaching 24-32 tons [5]. However, during the Declining Yield Phase around the age of 16-25 years [10], yield productivity decreases to approximately 15 tons ha-1 year-1 [11].
In addition to the recognized role of climate in influencing the development of oil palm production, environmental and genetic factors also have a significant impact [12-14]. Rajakal [15] reported that the effects of climate change have led to a reduction in production by 33.31-18.18% in oil palm plantations, which contrasts with Pradiko [16], who reported variations in production reaching 50.16%. Environmental factors, including soil type and topography, as well as genetic factors such as the selected varieties, contribute to productivity variations. Different oil palm varieties show differences in flower development and time required to reach maturity [17]. However, Bastian [18] reported no significant differences in the number of bunches and average bunch weight (ABW) among the three (3) oil palm varieties studied.
Various studies have shown varying results regarding the influence of soil type on oil palm yield productivity. Nasution [19] reported that oil palm planted in peat soil (Histosols) showed similar productivity to plants grown in mineral soil (Ultisols), producing 28.81 and 25.17 tons FFB ha-1 year-1, respectively. Similarly, research by Zulfikri [20] did not find a significant difference in yield productivity between sandy and clay soils, with yields of 28.30- and 26.05-tons ha-1 year-1, respectively. However, Koedadiri [21] reported that productivity in Spodosols land at the age of 9 years was low, only 5.4 tons ha-1 year-1, far below the average yield productivity on mineral soils, which generally reaches 24-28 tons ha-1 year-1. Nevertheless, interventions, such as hardpan breaking and mounding, have been proven to increase oil palm yield productivity in Spodosols to over 20 tons ha-1 year-1 [22]. Veloo [23] reported that various types of peat (Histosols) significantly affect oil palm yields, with peat maturity having the greatest impact ranging from 9.47-22.92 tons FFB ha-1 year-1.
Previous studies have investigated the influence of variety and soil type on oil palm yield productivity separately, with diverse locations and conditions. Unlike previous approaches, this study specifically explored how four types of soil (Ultisols, Entisols, Spodosols, and Histosols) interact with three oil palm varieties to affect their productivity. This research aims to compare yield productivity, viewed from the number of bunches and ABW, among oil palm varieties grown in these four types of soil. Understanding and addressing the factors affecting oil palm yields can increase global oil production by approximately 15-20 million tons per year, thereby reducing the need for further expansion [1].
MATERIALS AND METHODS
Study Site Characteristics
This study was conducted in an oil palm plantation in Central Kalimantan Province, covering an area of 80,000 ha from June 2022 to December 2023. The research area features topography ranging from lowlands to slightly undulating areas, with elevations between 5 m and 32 m above sea level. The four types of soil used can be seen in Figure 1, namely a) Ultisols from the Aquic palaeudult and Typic paleaqult subgroups, b) Spodosols from Typic haplohumod, c) Entisols from Albic Quartzipsamment, and d) Histosols from Typic haplofibrist and Typic haplohemist. Histosols at the research site are of the inland peat (non-marine peat) type and are generally comprised of isolated spots in mineral soil. In the context of land suitability for oil palm, Ultisols are considered class II, meaning they are moderately suitable, whereas Entisols, Spodosols, and Histosols fall into class III, indicating greater limitations. The research location was chosen for its ability to represent the general conditions of oil palm plantations in this region, offering significant insights for local industries and similar areas.

Sampling Methods
This study utilized an experimental design and adopted a two-stage cluster sampling technique. In the first stage, the samples were divided into several clusters based on area conditions, climate, soil type, and contour. The second stage involved selecting samples based on plant age, variety used, and research area size. This technique ensures a good representation of the study population and allows for more in-depth analysis of the factors affecting oil palm yield productivity. This study used four types of soil (S), namely Ultisols (S1), Entisols (S2), Spodosols (S3), and Histosols (S4), covering an area of 1,609.32 hectares with 12 replicated blocks, as shown in Table 1. There are three varieties of oil palm (V): the Lonsum variety (V1), IOI (V2), and Felda (V3).

Data Sources
The secondary data used included yield productivity, number of bunches, Average Bunch Weight (ABW), and the physical and chemical properties of the soil. Oil palm yield productivity was calculated based on total production data (tons year-1) divided by the area (ha) of the sample block. Oil palm yield productivity data from 2010 to 2023 were used. The results of the analysis of the physical and chemical properties of the soil were obtained from the company's internal fertility reports for 2017 and 2023. Rainfall data were collected from 18 stations that were evenly distributed at the research site from 2010 to 2023.
Data Analysis Methods
The physical and chemical properties of the soil were analyzed by comparing the laboratory results with soil fertility evaluation standards for oil palm (Table 2). For the production data, Analysis of Variance (ANOVA) and Duncan's Multiple Range Test (DMRT) were used at a 5% significance level, and regression and multiple correlation analyses were conducted to explore the relationships between soil variables and plant varieties with respect to oil palm production. Data analysis was performed using SPSS Statistics 29 and Python software.
RESULT
Soil physicochemical properties
Figure 2 shows the percentage composition of sand, silt, and clay for the three different soil types in the Ultisols, Entisols, and Spodosols. Ultisols consisted of 54.6% sand, 21.6% silt, and 23.8% clay, indicating a relatively balanced distribution among the three components with a sandy clay loam texture. Entisols had a higher sand content of 92.1%, with much lower silt and clay contents of 5.6% and 2.3%, respectively, indicating a sand texture. Spodosols are dominated by sand at 92.7%, whereas silt and clay are present in small amounts (6.4% and 0.9 %, respectively). This shows that the Spodosols also have a sand texture.

Histosols, also known as peat soil, differ fundamentally from mineral soils such as Ultisols, because they are rich in organic matter. Their formation process occurs through the accumulation of organic material in wet conditions and the absence of oxygen, resulting in distinct soil characteristics that do not follow conventional soil texture classification. In peat soil, there is a high proportion of organic material and water content, which play key roles in determining its physical and chemical characteristics. Therefore, categorization based on sand, silt, and clay becomes less accurate or even inapplicable in peat soil analysis, explaining why soil texture measurements are often excluded for Histosols in soil studies.
Soil texture is closely related to water availability in the soil. The highest water availability potential was found in Histosols, followed by Ultisols, Entisols, and Spodosols (Figure 3). Ultisols with a sandy loam texture had an available water value of 125 mm, Entisols with a loamy sand texture had available water of 91.7 mm, and Spodosol with a sand texture had available water of 58.3 mm. Histosols have the highest available water value at 400 mm. Although the available water value in Histosols is higher than that in Ultisols, Histosols have an irreversible drying property that causes the soil's ability to bind water to deteriorate, particularly during the dry season. Histosols (peat) that have undergone extreme drying will have difficulty absorbing water again, so the incoming water at that time cannot be stored.

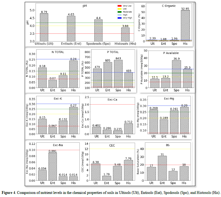
Soil chemical analysis for the fertility of oil palm plants shows significant variations in pH and organic content among soil types. Figure 4 shows a comparison of the nutrient levels in the chemical properties of soils in Ultisols (Ult), Entisols (Ent), Spodosols (Spo), and Histosols (His). The legend of the diagram indicates the categories of the chemical property analysis results, with red for very low category, yellow for low, green for moderate, light blue for high, and dark blue for very high. Histosols have the lowest pH at 3.88, indicating very high acidity and less ideal conditions for oil palm, while Ultisols show the highest pH at 4.79, more suitable for oil palm plants. Entisols and Spodosols also showed relatively high pH levels of 4.63 and 4.40, which are still acceptable. In terms of Organic C content, Histosols are very rich at 52.95%, far exceeding Ultisols and Spodosols, which have 2.39% and 1.96% respectively, while Entisols have the lowest at 1.08%. The highest Total N was found in Histosols (0.24%), followed by Ultisols (0.18%), and was lower in Spodosols (0.11%), with Entisols being the lowest at 0.07%. The most abundant total P was found in Spodosols (643%) and Entisols (605%), with Ultisols not far behind (479%), while Histosols, although the lowest at 403%, were still considered high.

Spodosols excel in available P at 36.9 meq/100 g, followed by Histosols at 25.3 meq/100 g both in the very high category. Conversely, Entisols and Ultisols have lower available P, with 13.2 meq/100 g and 12.1 meq/100 g, respectively categorized as low. Histosols top the chart in Exchangeable K (Exc-K) with 0.270 meq/100g, high for oil palm. Ultisols and Spodosols were in the low category, whereas Entisols were at the bottom of the list with a very low value of 0.067 meq/100 g. Exchangeable Mg (Exc-Mg), important for photosynthesis, is most abundant in Histosols (0.290 meq/100 g). Ultisols and Spodosols have nearly the same amounts, whereas Entisols have the lowest amount, yet are still adequate for photosynthesis. Exchangeable Ca (Exc-Ca) in Histosols showed slightly higher values than other nutrients at 0.712 meq/100 g, which is still considered very low. The highest Exchangeable Na (Exc-Na) was found in the Entisols (0.091 meq/100 g), but this value was also very low.
Histosols exhibited the highest Cation exchange capacity (CEC) among the soil types tested at 7.5/100 g, yet this value is still in the low category. Ultisols are slightly behind with 6.38 meq/100 g, also in the low category, indicating these soils have a better potential for holding and exchanging nutrients compared to Spodosols (5.48 meq/100 g) and Entisols (1.79 meq/100 g), both of which are in the very low category. In terms of base saturation (BS), Entisols led by 31%; however, this is still considered low. Histosols (18%), Ultisols (17%), and Spodosols (12%) were all in the very low category. These results provide an overview of the chemical characteristics of various soil types and their potential impacts on the growth of oil palm plants.
OIL PALM PRODUCTION DYNAMICS IN ULTISOLS, ENTISOLS, SPODOSOLS, AND HISTOSOLS
Figure 5 explains the oil palm production patterns over a 14-year mature phase (2010-2023), covering three (3) main parameters: ABW, number of bunches, and oil palm yield productivity. In 2010, the sampled oil palm reached four years old and began its harvesting phase for the first time, signifying its first maturity year (M1). This figure provides visual data that allows researchers and plantation managers to identify how differences in soil types specifically affect and correlate with these three production aspects. The production pattern in Ultisol is illustrated with a gray solid fill, whereas that in Histosol is marked with a white solid fill. Meanwhile, Entisol is represented by a dashed line, and Spodosols by a dotted line. Understanding the legend in Figure 5 enables an accurate interpretation to gain a comprehensive understanding of the dynamics of oil palm production based on soil characteristics.

Figure 6 also shows that as the age of the plants increases, there is an increase in yield productivity and ABW, but a decrease in the number of bunches. Based on monthly yield productivity, Ultisols reached 3.44 tons FFB ha-1 month-1, Entisols 2.85 tons FFB ha-1 month-1, Spodosols 2.78 tons FFB ha-1 month-1, and Histosols 2.97 tons FFB ha-1 month-1. The peak number of bunches per hectare occurred when the plants were young, with Ultisols reaching 325 bunches ha-1 month-1, Entisols 241 bunches ha-1 month-1, Spodosols 274 bunches ha-1 month-1, and Histosols 321 bunches ha-1 month-1, respectively. However, these numbers were achieved when the plants were young, and as the plants aged, the number of bunches decreased across all soil types. The highest ABW reached for Ultisols was 21.5 kg per bunch, for Entisols 20.2 kg per bunch, for Spodosols 19.0 kg per bunch, and for Histosols 20.3 kg per bunch, with the ABW increasing as the plants aged.

The highest annual yield productivity achieved during maturity phase (M1-M14) occurred in 2022 (M13) with Ultisols at 31.02 tons FFB ha-1 year-1, Entisols at 25.26 tons FFB ha-1 year-1, and Spodosols at 25.41 tons FFB ha-1 year-1. The highest yield productivity in Histosols was found in 2018 at 26.35 tons FFB ha-1 year-1, but was not significantly different from 2022, which was 26.25 tons FFB ha-1 year-1. Figure 6 also shows that high yield productivity when plants are young indicates higher productivity when the plants are older. The comparison of oil palm yield productivity begins when the plants enter the age of four years (M1), as during the ages of one to three years, the plants are in the pre-productive phase (immature). During the immature phase, plants are still in the vegetative development phase; therefore, FFB are not harvested. The varieties used for each treatment included Lonsum, IOI, and Felda. The results of Figure 6 show the best oil palm yield productivity during M1-M14 was found in Ultisols (24.23 tons ha-1 year-1), followed by Histosols (21.11 tons ha-1 year-1), Spodosols (18.00 tons ha-1 year-1), and Entisols (17.18 tons ha-1 year-1). Histosols have 13% lower productivity than Ultisols. The yield productivity achievements of Spodosols and Entisols soil were lower than those of Ultisols, even with variances reaching 26% and 29% respectively, compared with the productivity of Ultisols.
Relationship Between Varieties and Soil Types Towards Oil Palm Production
Table 3 presents the results of the univariate analysis of, which assesses the impact of soil type and variety on oil palm yield productivity. Specifically, soil type significantly affected yield and the number of bunches, with a p-value < 0.001 indicating a very high significance. Varieties had a significant effect only on the number of bunches (p < 0.05), but not on yield or ABW, with p-values of 0.225 and 0.169 respectively. There was a significant interaction between soil type and variety for the three parameters tested, with p-values < 0.001 and < 0.048, respectively. This indicates that although soil types and some varieties impact certain characteristics, the combination of both shows a significant synergy in affecting the outcome of oil palm production, yet the significant differences are predominantly influenced by soil type.

To identify which treatments statistically offered the best performance in terms of oil palm productivity, Duncan's multiple range test at a 5% significance level (α = 0.05) was conducted. Through Duncan's test, it is possible to evaluate in detail how specific combinations of soil types and varieties interact to affect production outcomes, differentiating between treatments that yield significantly higher results and those that do not, thereby enabling more informed decision-making. Figure 7, which is presented, illustrates the comparison between soil types and varieties on oil palm production, including yield, number of bunches, and ABW based on the results of Duncan's test at α = 0.05. Ultisols showed the highest yield of more than 24 tons ha-1 year-1, followed by Histosols at approximately 21 tons ha-1 year-1. Entisols and Spodosols showed lower results, both below 20 tons ha-1 year-1, and were significantly different from Ultisols and Histosols. Bunches palm-1 year-1, Spodosols (15.2 bunches per palm per year), Entisols (13.4 bunches palm-1 year-1), Spodosols (12.8 bunches palm-1 year-1), and Entisols (11.2 bunches palm-1 year-1). The ABW between Ultisols and Entisols is nearly the same at 12.0 and 11.8 kg per bunch respectively, while in Spodosols it's slightly lower at 11.1 kg per bunch. Histosols had the highest ABW (12.3 kg per bunch). The number of bunches based on variety shows Felda leading with the highest number of bunches at 13.8 bunches palm-1 year-1, followed by IOI and Lonsum, with nearly the same amounts.

Individual analysis of the soil type and variety parameters revealed that Ultisols produced the best oil palm production. Further analysis was conducted to explore the interaction between Lonsum, IOI, and Felda varieties and soil types, including Ultisols, Entisols, Spodosols, and Histosols. The results in Figure 7 show a comparison of oil palm yield productivity based on combinations of soil type (S1 to S4) and oil palm variety (V1 to V3) over a 14-year mature period (2010-2023). The first graph from the top displays ABW, with taller bars indicating higher average weight per bunch. The second graph shows the number of bunches, and the third graph shows the yield productivity of oil palm. The treatment combinations are listed along the x-axis, with each vertical bar representing the average value for each treatment. In each graph, the numbers indicated above the bars, followed by the same letter within one column, suggest no significant difference based on Duncan's test at the 5% level.
In Ultisols, S1V1 and S1V2 show no significant difference with yields of 23.68- and 23.99-tons ha-1 year-1, but S1V3 is superior with 25.10 tons ha-1 year-1, though not significantly different. In the Entisols, S2V1, S2V2, and S2V3 were stable at 17-ton ha-1 year-1 without significant differences. For Spodosols, S3V1 and S3V3 are similar with outcomes around 18 tons ha-1 year-1, while S3V2 is lower at 17.13 tons ha-1 year-1, yet comparable to Entisols. In Histosols, S4V1 and S4V2 produce approximately 20 tons ha-1 year-1 and are not significantly different from S4V3, although they are higher at 20.88 tons ha-1 year-1. Overall, it was observed that the highest yield was achieved in Ultisol soil with the Felda variety (S1V3), while the lowest yield was obtained in treatments with Entisols (S2V1, S2V2, S2V3) and Spodosols (S3V2). The variation in production across the 11 treatments reached 4-32% compared with S1V3.
An analysis of the number of bunches per palm was conducted to provide a more specific understanding of the individual performance of each oil palm, rather than looking at overall performance per hectare. This approach allows for a more detailed and personal assessment of each palm, revealing intrinsic variations that may occur owing to genetic differences, local soil conditions, or micro-environmental factors. Figure 8 shows that the number of bunches in Ultisols for the Felda variety (S1V3) stands out as the highest at 16.0 bunches palm-1 year-1, while the Lonsum and IOI varieties (S1V1 and S1V2) produced 14.6 bunches palm-1 year-1, with no significant difference. Entisols show lower results, with the Lonsum and Felda varieties (S2V1 and S2V3) at 11.3 bunches palm-1 year-1, and IOI (S2V2) the lowest at 10.7 bunches palm-1 year-1. Spodosols show a slight increase, with the Felda variety (S3V3) delivering 12.8 bunches palm-1 year-1 and IOI (S3V2) slightly lower at 12.4 bunches palm-1 year-1. Histosols provide the highest results for the IOI variety (S4V2) with 13.2 bunches palm-1 year-1 and Lonsum (S4V1) slightly lower at 12.7 bunches palm-1 year-1. However, the Felda variety (S4V3) competes in Histosols with several bunches equivalent to the best variety in Ultisols at 14.6 bunches palm-1 year-1. Felda generally delivers a high number of bunches, especially in Ultisols and Histosols, whereas Entisols tend to produce a lower number of bunches. The variation in the number of bunches across the 11 treatments reached 9-33% compared with S1V3.

In Ultisols, the Lonsum (S1V1) and IOI (S1V2) varieties produced nearly the same ABW of approximately 12 kg per bunches, while the Felda variety (S1V3) produced slightly lower at 11.7 kg per bunch, but this difference was not significant. In Entisols, ABW ranges from 11.4 to 12.2 kg per bunch, with the IOI variety (S2V2) having the highest ABW in this soil type, but differences among varieties are not significant. Spodosols showed the lowest ABW, particularly for IOI (S3V2) at 10.6 kg per bunch, which significantly differed from IOI in Entisols and Histosols. Histosols stand out with the highest ABW for Lonsum (S4V1) and IOI (S4V2), both over 12.5 kg per bunch, while Felda (S4V3) is at 11.3 kg per bunch, similar to lower values from other soils. Significant variations in ABW between different combinations of soil and variety were observed, with Histosols tending to provide the highest ABW, particularly for the Lonsum and IOI varieties. Generally, the differences in ABW between varieties within the same soil type were not significant, indicating that soil factors might play a more significant role in determining ABW than genetic differences between varieties. The variation in the number of bunches across the 11 treatments reached 2-12% compared with S4V2.
Figure 9 shows a scatter plot of yield for all treatments (S1V1-S4V3) over 14 years maturity phase, displayed in units of tons ha-1 month-1. The blue points represent the yield values for each treatment per month, whereas the red dashed lines depict a polynomial trend that shows the general production pattern over 14 years. The horizontal black dashed line indicates the monthly production target for oil palm plantations, which is approximately 2 tons ha-1 month-1. This line can be used to demonstrate how often a treatment meets or exceeds a set production target. The consistency of points above the black line indicates high yield productivity soil in those treatments, consistent with the results in Figure 9. The fluctuating pattern of production points also illustrates the variability in production, which might be influenced by various environmental factors or specific growth conditions during that period. The polynomial trend (red dashed line) attempts to closely model the actual production trend, allowing for future performance predictions based on historical data. However, it is essential to consider the plant phase because a decrease in oil palm production occurs during the Declining Yield Phase (DYP).

Figure 9 also shows the fluctuations in oil palm production that increase over time, as indicated by the blue points, but overall, there is an increasing trend, as shown by the polynomial red line. Many blue points located above the black line in treatments S1V1, S1V2, S1V3, S4V1, S4V2, and S4V3 indicated that these treatments successfully produced productivity exceeding the general threshold, thus demonstrating a tendency for high yield productivity performance. In contrast, S2V1, S2V2, S2V3, S3V1, S3V2, and S3V3 showed yield values below the black line throughout the 14-year observation maturity phase period. This indicates that the varieties tested on Entisols and Spodosols had a lower yield productivity performance. These results confirm that soil type plays a dominant role in determining the variation in oil palm production outcomes.
DISCUSSION
The analysis of the influence of soil type and variety on oil palm yield productivity revealed interesting dynamics between genetic and environmental factors. This study explored the impact of soil type and variety on oil palm yield productivity. Based on the results obtained, Ultisols stand out as the soil type with the highest average annual productivity, reaching 24.23 tons ha-1 year-1, and the highest monthly yield reaching 3.44 tons ha-1 month-1. Histosols have a lower average yield productivity compared to Ultisols at 21.11 tons ha-1 year-1, showing a competitive monthly yield also reaching 2.97 tons ha-1 month-1. Spodosols and Entisols, however, exhibited significantly lower yield productivity at 18.00 tons ha-1 year-1 and 17.18 tons ha-1 year-1 respectively. In terms of varieties, Felda excels with the highest bunch production at 13.8 bunches palm-1 year-1 and the highest ABW at 12.3 kg per bunch. Lonsum and IOI, meanwhile, have similar but slightly lower performances than Felda in terms of the number of bunches and ABW.
The interaction between soil types and varieties also provides interesting insights, namely the combination of Ultisols and the Felda variety (S1V3) results in the highest annual yield productivity and monthly oil palm yield, at 25.10 tons ha-1 year-1 and 3.63 tons ha-1 month-1 respectively. Entisols and Spodosols showed lower results for all tested varieties than those planted on Ultisols. Histosols manage to provide quite good results when combined with the Lonsum, IOI, and Felda varieties compared to Entisols and Spodosols. Based on these results, soil type had a more dominant influence than variety in determining oil palm production. Ultisols were the best soil type for cultivating oil palm, whereas the Felda variety showed the best results in terms of the number of bunches. The combination of Ultisols + Felda provided the best results in terms of oil palm yield productivity. This is consistent with the report by Combres [27] that the number of bunches contributes the most to productivity. Oil palm productivity is determined by the number of bunches and ABW [28]; however, plant age, climate, soil type, and oil palm cultural practices significantly affect the number of bunches and ABW. Soil type is an important component in determining the land suitability classes for oil palm plantations.
The varied yield productivity of oil palm across different soil types can be linked to the physical and chemical characteristics of the soils. Ultisols offer the best conditions for oil palm growth owing to a balance between water retention, aeration, and nutrient availability. Histosols offer a large water storage potential, but are hindered by low pH and reversible drying. Spodosols and Entisols, with sand-dominated textures, face challenges in providing stable water and nutrient availability for oil palm. These results highlight the importance of considering soil characteristics when managing oil palm agroecosystems to optimize yield productivity.
Ultisols showed the highest oil palm yield productivity for several reasons. First, a balanced texture composition with 54.6% sand, 21.6% silt, and 23.8% clay creates an ideal sandy clay loam texture. This texture supports good water retention and aeration, both of which are crucial factors affecting nutrient uptake efficiency and oil palm root growth. Additionally, with an available water value of 125 mm, Ultisols provide sufficient water availability for oil palm, which is essential for supporting plant growth, especially during the dry season. Moreover, the recorded pH of Ultisols is 4.79, which, although acidic, is still within the acceptable range for oil palm growth. An organic C content of 2.39% also supported soil microbial activity and generally enhanced soil fertility. Although Ultisols do not have the highest nutrient content, this soil type offers a nutrient balance that supports oil palm growth, with a Total N of 0.18% and adequate total P of 479%, proving that Ultisols are very suitable for oil palm cultivation.
Histosols rank second in terms of oil palm yield productivity, which is driven primarily by two main factors. First, a very high-water storage capacity, with an available water value reaching 400 mm, enables Histosols to store a large volume of water, which is essential for oil palm plant growth, particularly in dry seasons. However, it is important to note that Histosols have a reversible drying characteristic, which can limit the ability of the soil to reabsorb water after experiencing extreme drying. Second, the very high Organic C content in Histosols (52.95 %) supports very strong soil microbial activity. This microbial activity is crucial for the decomposition process and nutrient cycling, thereby supporting soil fertility.
Spodosols and Entisols show lower and the lowest yield productivity in oil palm cultivation, respectively with several factors contributing to these conditions. Spodosols, with a sand texture dominance of 92.7%, experienced a low water retention capacity of only 58.3 mm, significantly reducing water availability for palms. Despite the advantages of Spodosols in available P of 36.9 meq/100 g, this does not sufficiently overcome the limitations of other possibly limited nutrients, resulting in lower productivity. However, Entisols, which also have a very high sand content of 92.1%, face similar issues with a very low water retention capacity of 91.7 mm, making them less ideal for oil palm cultivation, especially under dry conditions. Additionally, Entisols had the lowest organic C content among the soil types tested (only 1.08 %) and a pH value of 4.63, which, although adequate for supporting oil palm growth, is insufficient to overcome the limitations of other nutrient availabilities. These factors collectively limit oil palm plant yield productivity on Spodosols and Entisols, with Entisols showing the lowest productivity.
Ultisols demonstrated the best oil palm yield productivity for several key reasons, influenced by physical and chemical soil characteristics that synergistically support plant growth. The balanced texture composition of Ultisols, with 54.6% sand, 21.6% silt, and 23.8% clay, creates an ideal sandy clay loam texture. This aligns with the research by Sun [29], indicating the significant effects of soil texture on water availability. The water availability in Ultisols at 125 mm indicates adequate water storage capacity, which is crucial for plant growth, especially during the dry season. This supports the findings of Woittiez [30] and Gunawan [31] on the interaction between climate and soil characteristics and water availability. The Organic C content in Ultisols, recorded at 2.39%, supports soil microbial activity and enhances soil fertility, affirming the importance of organic carbon in determining soil fertility and productivity [32]. The soil pH at 4.79, although acidic, soil pH is still within the acceptable range for oil palm growth, illustrating that pH variation is influenced by mineral composition, organic acids, and soil texture [33,34].
Ultisols not only have a supportive texture composition, but also offer an adequate nutritional balance with a Total N of 0.18% and sufficient total P of 479%, which is essential for oil palm growth. This is consistent with research by Nursyamsi [35], who stated that K availability in the soil is influenced by organic acid content, and research by Firnia [36], who highlighted the absorption of P by plants mostly in the form of orthophosphate ions. Thus, Ultisols stand out as a highly suitable soil type for oil palm cultivation, proving the complex interaction between the soil's physical and chemical properties and oil palm plant growth. This research supports the findings of Wigena [37] and Primayuda [38] who reported higher oil palm yield productivity on Ultisols compared to other soil types, highlighting the importance of selecting the right soil type to achieve optimal productivity in oil palm cultivation.
Histosols rank second in terms of oil palm yield productivity, as supported by key factors closely related to the physical and chemical characteristics of the soil. First, its extraordinary water storage capacity reaching 400 mm, gives Histosols the ability to store a large volume of water, which is vital for oil palm plant growth, especially during dry periods. This reflects the findings of Zhang [39] and Soltani [40], emphasizing the importance of water availability associated with soil texture and characteristics in supporting plant growth. However, the reversible drying characteristics of Histosols pose challenges, limiting the capacity of the soil to reabsorb water after extreme drying periods and underlining the importance of proper water management, as described by Strömgren & Linder [41] in the context of plant nutrient dynamics.
Secondly, the very high Organic C content in Histosols (52.95 %) supports intense soil microbial activity, highlighting the role of organic matter in determining soil fertility and plant productivity, as explained by Cao [42] and Sembiring [43]. However, the very low pH in Histosols, recorded at 3.88, limits the availability of some essential nutrients, a condition consistent with observations by Meiling [44], which associate low pH with soil fertility challenges and nutrient balance. A low pH also affects the population and activity of organisms [45]. However, the high organic content in Histosols generally supports increased oil palm productivity potential, in line with the research by Puja & Atmaja [46], who emphasized the relationship between soil organic matter and ideal soil conditions for plant growth. Research by Wigena [37] suggested that the use of Histosols for oil palm might be limited by several factors, such as low bulk density, high porosity, and low nutrient availability, affirming the importance of proper soil management to optimize yield productivity in this soil type.
Soil characteristics including base saturation and CEC are crucial determinants of oil palm yield productivity. Sufardi [47] found that soils with low CEC tend to be more acidic due to base leaching. Nursyamsi [48] and Syofiani [49] added that high rainfall causes a decrease in exchangeable base content and increases leaching potential. On the other hand, soils such as Histosols, with high CEC due to high organic matter content, can retain and provide abundant nutrients. However, to maximize plant yield productivity, Histosols require careful management of pH and water conditions, confirming the importance of adjusting soil management to optimize plant nutrient conditions [50]. Thus, despite facing certain challenges, such as reversible drying and very low pH, Histosols remain a potential soil type for oil palm cultivation because of their high-water storage capacity and organic content that supports microbial activity. This study emphasizes the importance of soil management focused on improving water and nutrient availability, as recommended by Madhu & Hatfeld [51] and Paudel [52] to maximize oil palm yield productivity in Histosols. Oil palm yield productivity on Histosols land is reported to be 20.25-23.74 tons ha-1 year-1, whereas on mineral land, the average reaches 22.26-ton ha-1 year-1 with peak production at 27.32-ton ha-1 year-1 [53-55].
Spodosols and Entisols exhibited the lowest and significantly lower oil palm yield productivity, respectively which can be explained by various physical and chemical factors affecting these soil conditions. Spodosols, with a dominant sand texture of up to 92.7%, have a low water retention capacity, recorded only at 58.3 mm. Despite the phosphorus (available P) in Spodosols being quite high (36.9 meq/100 g), this condition fails to compensate for the limitations of other nutrients, thus inhibiting plant productivity. This illustrates the importance of balanced water and nutrient availability to support plant growth, as highlighted by Lindh [56] and Robbins & Dinneny [57], emphasizing the essential role of nutrients in the soil solution for plant absorption. Suharta & Yatno [58] added that the deeper the soil layer in Spodosols, the lower the C-organic content.
On the other hand, Entisols with a very high sand content, reaching 92.1%, face similar issues with water retention capacity only 91.7 mm, making this soil type less ideal for oil palm growth, especially in dry conditions. This was exacerbated by the lowest organic C content among the studied soil types, only 1.08%, and a pH value of 4.63, which although adequate for oil palm growth, was insufficient to overcome the limitations of other nutrient availabilities. This finding aligns with research by Gunawan [59], revealing that soils with low aggregation and wider pores, such as Spodosols and Entisols, face a higher risk of drought stress and nutrient deficiency.
When these challenges are combined, they can limit oil palm yield productivity on Spodosols and Entisols, with Entisols showing the lowest productivity levels. This reflects the importance of suitable soil characteristics, as indicated by Wigena [37], highlighting how a low clay proportion can negatively impact water and nutrient availability. These results confirm the importance of considering the physical and chemical properties of soil in the planning and management of oil palm cultivation with the aim of enhancing productivity by selecting more suitable soil types and effective soil management techniques.
CONCLUSION
Soil type had a more dominant influence than variety in determining oil palm production. Ultisols are the best soil type for oil palm cultivation with an average yield productivity over 14 years reaching 24.23 tons FFB ha-1 year-1, whereas Histosols have 13% lower yield productivity (21.11 tons FFB ha-1 year-1), Entisols 26% (18.00 tons FFB ha-1 year-1) and Spodosols 29% (17.18 tons FFB ha-1 year-1) compared to Ultisols productivity. Varieties do not show a significant influence on yield and ABW, but there is a significant difference in the number of bunches with the Felda variety showing the best results with an average of 13.8 bunches palm-1 year-1 compared to Lonsum and IOI at 12.7 and 12.8 bunches palm-1 year-1 respectively. The combination of Ultisols and Felda provided the best results in terms of oil palm yield productivity at 25.10 tons FFB ha-1 year-1, with a production variation between 4% and 32% compared to the other 11 treatments. The varied yield productivity of oil palm across different soil types could be linked to the physical and chemical characteristics of these soils and their water availability. Ultisols offer the best conditions for oil palm growth, thanks to a balance between water retention, aeration, and nutrient availability. Histosols offer a large water storage potential but are hindered by low pH and reversible drying. Spodosols and Entisols, with a sand-dominated texture, face challenges in providing stable water and nutrient availability for oil palm.
No Files Found
Share Your Publication :